Translate

Read Online Music Appreciation Course Syllabus Clark College PDF

Read Music Appreciation Course Syllabus Clark College PDF





  • Read Bennett Mechanical Comprehension Test Sample Paperback
  • Download Chinese Atv 110cc Service Manual Doc
  • Read Online A Hatful Of Rain Reader
  • Read Online Physics Giancoli 7th Edition Pdf Doc
  • Download El.Arbol.De.Los.Deseos.The.Wishing.Tree. Hardcover
  • Download Environmental_Science_8th_Edition Library Binding
  • Download Siga Pro Service Tool Manual Doc
  • Read Online Tci History Alive Lesson Guide Assessment Test Library Binding
  • Download Mahasweta Devi: An Anthology Of Recent Criticism mobipocket
  • Read Shl Verbal V Reasoning Test Answers 2013 Doc
  • Read Asian Cinema: A Field Guide Audio CD
  • Read The Student Writer 9th Edition Epub
  • Download The.Nurse.Mentor.S.Handbook.Supporting.Students.In.Clinical.Practice. Kindle Editon
  • Download Glenco Algebra 2 Test Form 2c Answers Library Binding
  • Read Curriculum Associates Answer Key Grade 6 Hardcover
  • Download Itw Mima Stretch Wrapper Manual Epub
  • Read Online 2001 Harley Davidson Road King Service Manual rtf
  • Read Pharmacology For Anaesthesia And Intensive Care, 4 Edition rtf
  • Read Toyota Axio Cvt Gearbox Doc
  • Read Airbus-A320-Ipc Paperback

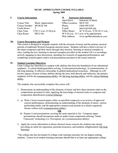
  • Music Appreciation Course Syllabus Clark College

    Music Appreciation Course Syllabus Clark College

    Music Appreciation Course Syllabus Clark College


    0 Response to "Read Online Music Appreciation Course Syllabus Clark College PDF"

    Post a Comment